GBPUSD D1 ГиП!!!!!

Здравствуйте, на фунте заметил, перевернутую голову с плечами



основная цель 1,5513, отработка гепа

Всем удачных торгов!!! *victory* 


EUR-USD ...недельная фибо...

Здравствуйте, предлагая рассмотреть недельную фибо:



как видно с рисунка, цена сейчас направляется, к скоплению линий с 3 натянутых фиб, где то на уровень 1.3150. От туда возможен отскок, на тест хая и возможно выше к уровню 1.3800. В дальнейшем ожидаю поход вниз на 1.27.

Данный анализ, не является рекомендацией к торговым операциям!
Всем

( Читать дальше )


GBP-USD ..."ромб" или не "ромб"...

Здравствуйте, на графике 4Н, заметил, что то похожее, на разворотную фигуру «ромб»



возможно ето и не «ромб» и я ошибаюсь *???* 

можно попробовать определить цели для етой фигуры с помощью фибы



может пойти отрабатывать 161, 261 и 423, только после закрепления цены выше 100 фибо.

Всем удачной торговли!!!
Профитов!!!

( Читать дальше )


EUR-USD ...фиба 4Н...

Здравствуйте, сейчас евра направляется вверх, пробила и закрепилась выше линии поддержки. Снизу видно не большой флет, который пробили вверх, натягуем фибо на нее и видим цели 261 и 423. По 161 уровню видно что фиба работает, от нее цена отбилась



Всем удачных торгов!

( Читать дальше )


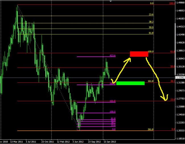
EUR-USD ...недельная фибо...

Здравствуйте, сейчас предлагая рассмотреть недельный график с натянутой фибой



Спасибо за внимание!
Удачи и профитов!!!
*victory* 


EUR-USD ...на чем ростем???!!!!

Здравствуйте, сейчас, я хочу показать, свое виденье валютной пары EUR-USD…

Давайте рассмотрим дневной график: в течении 10 дней был какой то застой, где образовались уровня сопротивление и поддержка. Соответственно, медведи продавали от сопротивления, а быки покупали от поддержки. За этими уровнями выставляются стопы, что являются лакомым куском для

( Читать дальше )